Abstract
Daratumumab is an integral part of the treatment of multiple myeloma (MM) but its real-world efficacy has only been described in small cohorts. MAMMOTH is the only large multi-center study that reported the outcomes of CD38-refractory MM. The present study includes a complete, Danish, nation-wide cohort of 635 MM patients who initiated treatment a daratumumab-containing index regimen (IR) prior to 1.1.2019, and describes the outcomes of 472 patients who discontinued their IR until 1.1.2021. Patients received a median of 3 lines of therapy (LOT) prior to the IR. The median time from diagnosis to discontinuation of the IR (T 0) was 4 years. At T 0, 73% of patients were quadruple drug class exposed (CE). The median overall survival (mOS) after T 0 was 12.2 months in the entire cohort, 15.3 months in double CE, 22.5 months in triple CE, 12.6 months in quadruple CE and 8.3 months in alkylator-bortezomib-carfilzomib-daratumumab-lenalidomide-pomalidomide-exposed patients. After T 0, 79%, 48%, 29%, 17%, 10% and 6% of patients received 1, 2, 3, 4, 5, 6 additional LOT, respectively, achieving overall response rates ranging from 44% to 11% and median time to next treatment (TNT) from 138 to 54 days. In the first subsequent LOT after T 0, 51% of patients were retreated with daratumumab. Despite the lack of benefit in terms response and TNT, daratumumab retreatment was associated with superior OS on multivariate analysis adjusting for age, previous transplantation, IR, drug class exposure at T 0, treating site, time from diagnosis to T 0 and presence of cytogenetic high-risk markers. Median OS was 24.6 months in patients retreated with and 11.3 months in patients treated without daratumumab (p<0.0001). In conclusion, patients with MM who discontinue their first daratumumab-containing regimen have a life expectancy of approximately one year. Our results support a rationale behind daratumumab retreatment.
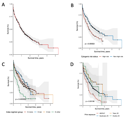
Legends to Figure:
A: Overall survival after T 0; B: Overall survival after T 0 by cytogenetic risk; C: Overall survival after T 0 by IR; D: Overall survival after T 0 by prior exposure.
Abbreviations: T 0=time of discontinuation of the first daratumumab-containing line of therapy; IR=index regimen; high-risk=t(4;14), t(14;16) or del17p by FISH; D-mono=daratumumab monotherapy; D-bor=daratumumab-bortezomib-dexamethasone; D-len=daratumumab-lenalidomide-dexamethasone; D-other=daratumumab in other combinations; Double_CE=exposed to daratumumab and another class of drugs; Triple_CE=exposed to daratumumab and two other classes of drugs; Quadruple_CE=exposed to daratumumab and three other classes of drugs; ABCDLP-exposed=exposed to daratumumab, bortezomib, carfilzomib, lenalidomide and pomalidomide
Szabo: Takeda: Consultancy; Sanofi: Consultancy; Janssen: Consultancy.
